协会动态

彭洪顺:楷书创作如何理性对标第九届新人展

来源:四川省硬笔书法协会 发布时间:2021/5/21 10:43:36

楷书创作如何理性对标

第九届中国书坛新人新作展览
■ 彭洪顺



第九届中国书坛新人新作展览将于7月20日截稿,当前是最为紧张的创作时期。当然有些性急的早已投了,有些理性的还在认真打磨作品。不管你是已投还是未投,理性对标一下,很有必要,至少你心里一下子会明白很多。


理性,是指人在正常思维状态下,为了获得预期结果,有自信与勇气冷静地面对现状,并快速全面了解现实,分析出多种可行性方案,再判断出最佳方案,且对其有效执行的能力。理性是基于现有的理论,通过合理的逻辑推导,得到确定的结果。


图片

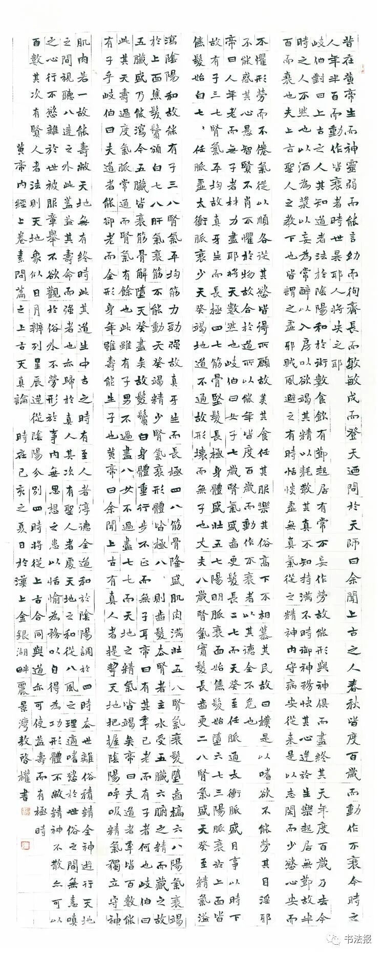
彭洪顺 小楷刘熙载《艺概》选抄


理性的分析至关重要,为什么有的书友学习书法二三年就入了国展,而有的却学了二三十年也未能入展呢?首先必须了解哪些是国展作品必备的要素,做到心中有数,才会少走弯路。


有的书友投稿之后未能入展,就灰心、失望,甚至把怨言发到评委和主办方身上,认为入展作品很多都是讲关系、开后门,作者是评委学生或与评委认识之类,这是极不理智的消极思想。别人作品能入展,一定有入展的理由,即使入展的作品不完美,有缺陷、有错误,但总会有优点,为什么不可以汲取别人的优点,来改正自己的缺点呢?要知道现在的评审极其严谨、科学、规范,在评审中即使有你认识的一两位评委,也起不了多大的作用,评审中投票票数要过半才有效。即使你的作品初选未过,只要足够优秀、精彩,也会有再打捞出来的机会。所以作品投稿没入展,一定在自己身上多找找原因,这才是最理性的思考。


图片

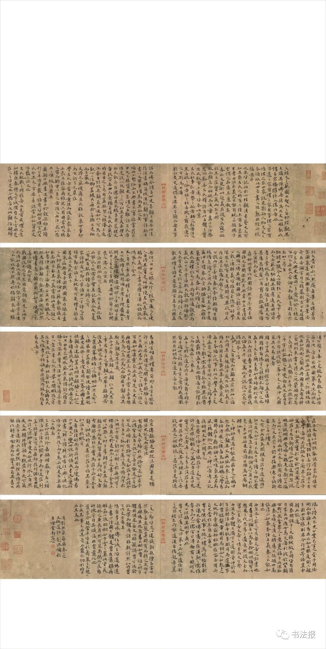
彭洪顺 小楷刘熙载《艺概》选抄(局部)


对标,就是要对比标杆找差距。而这个“标杆”,就是国展作品。


国展,这里指的是由中国文联、中国书协主办的国家级书法展览的简称。接下来,我们就以全国第十二届书法篆刻展为例,理性对标国展中的楷书作品,找出别人的优点,认真、深入地学习,尽快在国展中榜上有名。



被誉为书法界“奥林匹克”的全国第十二届书法篆刻作品展,投稿总量达52620件,其中楷书投稿11229件,最终评出楷书入展作品246件,入展率为2.1%。本次楷书入展作品取法非常丰富,从魏晋至唐、宋、元、明、清,历代书家皆有涉及。就风格而言,虽然有固一家为宗的,然多数都是博采众长,融汇贯通,自成面貌。其形式多样,精彩纷呈,蔚为壮观。我花了几天时间,对十二届国展入展作品详细地作了一个统计:


尺幅方面:


尺幅
四尺
六尺
八尺手卷册页
数量
48件
5件178件15件

内容方面:


类别古文诗词古赋书论画论楹联自作内容
数量124件37件4件44件11件16件10件


字体方面:


类型大楷中楷小楷
数量50件136件60件


风格方面:


风格
数量风格数量风格数量
魏碑110件唐楷59件赵体9件
钟王30件智永5件文徵明8件
苏东坡5件其他
1件黄山谷2件
倪瓒2件朱耷2件张即之1件
瘦金书1件宋克1件金农1件
弘一1件



唐楷入展作品中,小欧13件,大欧7件;褚体15件;颜体14件;柳体1件;写经9件。


形式方面:


类型数量类型数量
条幅32件中堂70件
二条屏18件三条屏40件
四条屏22件五条屏2件
七条屏1件斗方1件
手卷册页15件楹联16件
册页拼贴式17件手卷拼贴式12件


装祯方面:


类型整纸拼接
数量86件160件


纸张方面:


类型白宣色宣
数量41件205件


从以上数据,我们可以看出:尺幅尽量按要求写大,内容还是写古文居多,风格魏碑是主流,字体以中楷占优势,形式以中堂独领风骚,色宣拼接依然占据现代展览的主导地位。知道了这些,我们在后面的学习与创作中,便不再盲目。



接下来,我们来欣赏第十二届国展入展作品里的大、中、小楷作品:


图片逄春伟 全国第十二届国展入展作品


上图为山东书法家逄春伟创作的一件榜书对联,作品用的中国雅红宣纸,墨汁是红星超浓与一得阁超浓墨汁调和,墨如浓漆,结字以鲁公的厚重雄迈融入北碑的苍浑险峻,且加入少许行书笔意,打破了作品的沉闷。两边配以帝黄洒金蜡染落上下款,使整个作品彰显出富丽堂皇的正大气象。整个作品非常浑厚、茂密,具有极强的冲击力,是一件非常成功的榜书作品。


图片
程志宏 全国第十二届国展入展作品


上图为河南书法家程志宏创作的一件中楷作品,形式并不复杂,在一张八尺整张白宣上,写了一首张若虚的《春江花月夜》,左边落了两行小字,与右边的正文形成了对比,作品的格调,符合当代“回归唐楷”与“激活唐楷”的呼声。难能可贵的是,作者将小欧与褚遂良进行了几乎完美的融合。常人写欧,多写得板滞,写褚,常写得纤弱,而他却写得非常厚润、灵动。仔细品味,还有很多北魏墓志的气息,表现得高妙、自然。


图片夏云 全国第十二届国展入展作品


上图为江西书法家夏云的一件小楷作品。整个作品采用的是手卷拼接式,将古人常用的手卷形式,改为竖式中堂,正文由五个部分组成,卷首卷尾加了仿真丝绫边,纸张非常古雅,其小楷根植钟王,下涉唐、宋、元、明、清诸家,融汇贯通,不为一家所囿。仔细审视,钟王、子昂、衡山等书风跃然纸上,点画精到,线条古朴,气韵生动,如对古物。



接下来,我们来欣赏几件风格比较突出的作品:


图片
晁亚洲 全国第十二届国展入展作品


上图为安徽书法家晁亚洲的一件中楷作品,整个作品采用四条屏形式,写的自作文《在临帖中前进》。在上部留白处用篆书题了签条,写了一小块小楷,增加了作品的丰富性。作品以帖学用笔来写碑刻面貌结构,强化大小、轻重、收放、斜正、疏密等对比,既矛盾又和谐统一,既有碑的古朴自然和雄浑姿态,又有帖的雍容华贵和流畅多姿,非常耐人寻味。


图片

江中元 全国第十二届国展入展作品


上图为广东青年才俊江中元写的一件中楷作品,采用八尺白宣,铅笔界格,妙处有四点:一在形式朴素大方;二在中部留白透气;三在左边小字对比;四在风格独具。这件作品主要用的金农的结体,魏碑的笔法,仔细品味,欧阳通的险绝,褚遂良的灵动,智永的温润,《源延伯墓志》的遒劲都合理的融入其中,而无丝毫刻意痕迹。造型非常大胆,斜中求正、险中求稳,因字赋形、意态姿肆、气势雄奇、既古又新,具有非常深的临帖功底与非常高的创作能力。


图片

刘辉 全国第十二届国展入展作品


上图为重庆青年书家刘辉创作的一件中楷作品,正文用纸为六尺仿古宣,上部加60厘米左右的白宣形成八尺的高度,在上部写了一块小楷,与中楷形成块面对比。最难能可贵的是:作品以《元瑛墓志》为根基,却采用小欧的造型方式,亦融入褚遂良的灵动,整件作品典雅、萧散、空灵,线条干净、字体刚劲,令人如沐清风、如饮甘露。



下面,我们来了解一下国展作品必须具备的条件:


首先,内容要健康向上。国展要求积极健康向上的古今诗词文赋均可。征稿启事里提倡自撰诗文,假如你的文章如果写得还不错,写自己的内容,同等条件下肯定加分,但如果写得一般,就不要“画蛇添足”。抄古诗文一定注意使用权威版本,保持内容的准确连贯和相对完整。书写非自撰内容,要在落款处写上原作者姓名及篇名。如果写古诗文,建议写一些冷僻的、有趣味的,回避一些耳熟能详的,要有新鲜感。


其次,纸张要高质量书画纸。在当代展览的催生下,书写材料可以说是应有尽有,洒金、洒银,描金、描银,烫金、烫银,粉彩、蜡染,水印、水纹,泥金、泥银、麦光笺......从目前国展入展作品来看,用纸都趋于雅致,那些花里胡哨、俗里俗气的纸张,基本没了踪影,即使是仿古,也选用素笺纯色为宜。绢的品种倒是很多,但太透明,挂起来效果不好,还不如绢纸效果,但绢纸写中楷、大楷还行,写小楷,最好选细腻一些的,如蜡染最佳。投稿作品应避免易折断、破损的纸张,除了绢类,国展不收非纸张类创作的书法作品。


图片张青山 全国第十二届国展入展作品 


第三,形式要雅致。就目前国展作品的形式来讲,大体分为条幅、中堂、二条屏、三条屏、四条屏、手卷、册页、手卷拼贴式、册页拼贴式等,小楷建议册页拼贴式,中楷建议三条屏,大楷建议写整纸中堂。


第四,章法要经营。无论你写小楷、中楷、还是大楷,肯定要分成几个块面来处理,作品要有疏密对比关系,先画草图,能电脑设计效果最好,落款位置及印章位置都要经营。


第五,风格要独特。现在的展览,风格非常重要,要想在瞬间博得评委的青睐,除了形式,那就是风格,要做到“和而不同,违而不犯”,除了碑帖相融,把字写长、写扁,写粗、写细,加强大小、轻重、收放、斜正、方圆、疏密等变化,都是很好的手段。


图片

谢全胜 全国第十二届国展入展作品 


第六,装祯要讲究。我经常讲,没有倾国倾城的姿态,你就不要素面朝天。国展征稿启事里讲的是“不要过度染色、拼接与做旧”,只要不过度都行。不要弄得花里胡哨,皱皱巴巴。作品除了写得好,也要会打扮,人们常说“三分人才,七分打扮”,而作品讲的是“三分字,七分裱”,可见装祯、装裱的重要。


第七,纸张要精美。展览中的入展作品,绝大部分是有色的,这不能说是评委“好色”,假如一个展览全是白纸黑字,看上去会是什么感觉?是不是阴风煞煞?呵呵……纸张,现在流行蜡染,千万不要用那种印得花里胡哨的所谓“国展专用纸”,要素雅。如果懂得微喷,会给你的作品增色不少,这是高科技在现代书法展览中的应用,后面我会详细解读。



作品风格既然那么重要,我们如何把握风格的独特性呢?这个问题,说复杂非常复杂,说简单也非常简单。说复杂,你首先是要将某几个碑或帖吃透,了解其用笔与结字特征,然后再去想融汇贯通的问题。说简单,比如,这里有很多成功的案例:平时临的魏碑,把钟繇的小楷放大、加厚写,用钟繇的结体,用魏碑的笔法,碑帖相融。当然也可以用何绍基的结体,加魏碑的笔法;金农的结体,魏碑的笔法;甚至郑板桥的结体,魏碑的笔法。如再想独特些,用小欧的上松下紧、外松内紧特征,融褚遂良的灵动、魏碑的雄强、智永的清俊妍美,非常讨人喜欢。在十二届国展入展作品中,有的把《张玄墓志》拉长、有的把褚遂良《倪宽赞》笔画加方,这都是妙招。


图片敖启权 全国第十二届国展入展作品


无论是写碑还是写帖,我觉得要有新的思维,不要都往一些大家非常熟悉的碑帖上去写,这样很容易撞车。为什么楷书魏碑入展概率最大?是因为魏碑的风格很多,几乎一碑一品,特别是新出土的很多墓志,精美绝伦,为我们提供了很多的学习范本。


如果你写帖,经典作品肯定要写,但真正走出来形成风格,最好选一些大家不太关注的书家,这样很容易有辩识度,让人眼前一亮。


总之,风格的独特性,在于你必须根植传统。线条要古,结构要新,这就是“结字因时相传,用笔千古不易”,“新瓶装老酒”,“穿古人的鞋,走自己的路”,“用古人的钱,盖自己的房子”的道理。



形式在展览中是最博眼球的,那么怎样才能做到形式的“唯一”呢?我们来欣赏十二届国展中的一件中楷和一件小楷作品,或许你会脑洞大开。


图片

王朝阳 全国第十二届国展入展作品


这件作品作品是河南书家王朝阳写的,正文是六尺,分成三条来写,把他挖裱在一张八尺的白色蜡染纸上,但正文并不是居中,而是靠左下,右边和上面空出了很大的空间,在右上用康熙体盖了一个“澄心斋墨痕”当签条,用朱砂在斋号章下写了三行小楷,在上边中上空白处也写了一块小楷,形式非常独特,值得学习。


接下来,我们来欣赏一件小楷作品:


图片

夏红 全国第十二届国展入展作品


这是福建的女书家夏红创作的一件小楷作品,除了正文写的钟王风格非常精彩外,正文采用的是手卷拼接式,每一条高23厘米,宽69厘米,三条拼起来就是一个斗方,69厘米×69厘米,下面空24厘米,上面留44厘米,在上面用正文的同色纸挖嵌了一个签条,正文的三条中间,加了一条0.5厘米宽的仿绫纸,并在天地也作了相应的呼应,每一条的留白与印章点缀,都独具匠心。整体看上去,非常清新、雅致、独特。



通过以上的讲解,你或许明白了许多,接下要做的,是你要作好的准备工作:


首先,定好字体。你需要定好是写大楷,还是写中楷、小楷。因为字体大小不同,书写要求也不一样。大字要茂密,小字要疏松;大字讲气象,小字重精微;大字要写好,中间窟窿要写小,小字要写好,格调气息最重要。建议:大楷10厘米以上,中楷2.5厘米到6厘米为宜,小楷最好控制在1厘米到1.5厘米。


其次,定好风格。你要确定是写魏碑,还是写隋唐楷书,亦或是钟王小楷,不要朝三暮四、朝秦暮楚,一定要有主基调,要有辨识度,让别人一看便明白出自哪个碑哪个帖。


图片
彭洪顺 小楷《书概》选抄


第三,定好时间。如果你已具备非常高的创作能力,那么现在就可以开始模拟创作,打样稿,逐步完善。我建议不要太着急,把时间安排好,来个倒计时,多打磨几遍,争取创作出最满意的作品参赛。要知道现在的展览竞争非常残酷,要成为百里挑一的高手,不下点狠功夫肯定是不行的。


第四,选好纸笔。除大楷可以选夹宣、绢纸或长纤维一类,纸稍厚,拉力要好,才不易破碎。中楷、小楷可以用特制的“手工国展素雅蜡染”,纸质细腻,能表现出中楷小楷的精微。笔的话,还是兼毫好,不软不硬,弹性适中。其实字的风格跟笔有非常大的关系,你用一支弹性非常好、笔毛非常尖“精锐宜书”去写钟繇风格,肯定写不古,同样你用一支纯狼“古法小楷”去写文征明,也一定写不出精到劲挺的线质。什么风格,用什么样的笔写,这里面有非常大的讲究,在此不一一赘述。


图片
彭洪顺 中楷《后赤壁赋》


第五,选好内容。内容要健康向上,充满正能量。书写要保持完整性,不要随意断句。能自撰当然好,同等条件下有照顾,但要字斟句酌,不要口水话,更不要哆嗦。如果是写古诗词或古文,内容要读一下,注意主题思想,千万不要弄些“冷冷清清,凄凄惨惨切切”“商女不知亡国恨,隔江犹唱后庭花”“千里孤坟,无处话凄凉”之类。


第六,用字准确。繁简不要同篇,要认真审读文字,那些冷僻的碑别字,千万不要用,要不然,你的作品怎么下的,你都不知道,没有给你解释的空间,明白吗?


图片

彭洪顺 中楷《后赤壁赋》(局部)


第七,装祯精美。在拼接的时候,讲究一点,接头控制在5毫米以内,不要弄得皱皱巴巴的,比例要协调,色彩要清新,搭配要合理,一定保持作品的平整度,颜色不要太妖艳,以雅为尚,以古为美,以新为要。


风格的独特性,与形式的唯一性,就是你作品入展的理由。希望大家能对标国展,从内容、风格、形式、章法、落款、印章、印泥、纸张、装祯等多方面考究,打磨出自己满意的作品投稿,尽快实现自己的国展梦!

书法秘笈

书法秘笈

聚焦技法研究和经典文章,关注书坛热点事件和话题。努力发“干货”,有图有真相。倡导做“清流”,注重内容品质。来,汇聚全天下有意思的书法人,一起嗨皮!

120篇原创内容

公众号

书法秘笈

关注书坛热点事件和话题

聚焦技法研究和经典解析

汇聚天下有意思的书法人,一起嗨皮