协会动态

四川省第二届“写经典 迎新春”中小学生书法网络展(2022)-第十一集

来源:四川省硬笔书法协会 发布时间:2022/3/1 20:24:01

四川省第二届“写经典 迎新春”中小学生书法网络展(2022)-第十一集

小中高组

陈钰涵 彭雨荀 魏梓岚 熊紫妤 张刘艺
勾诗颖 蒲泳庆 文梓涵 胥砚文 张露尹
贺子嘉 邱  睿 吴昊伦 徐 菡 张岷溪
冷沐岭 饶梓萱 吴  锦 徐浩宇 张琪涵
刘玥彤 申婉淇 吴奇峰 徐黄艺 张睿涵
马睿阳 盛泽宇 吴  优 许柳淇 张诗翌
马译萱 王唯蓁 吴泽恩 许雅婷 张鑫瑜
马佑轩 王馨雨 夏艺洋 鄢张子涵 张煦晨
马子涵 王雅澜 向家宜 闫崇瑞 张轩玮
倪梦璐 王烨伟 向思槿 颜熙东 张雅馨
牟映桦 王翊臣 向紫菀 张富杰 张杨慕橙
聂正东 王雨萱 肖正红 张果果 张懿鸣
牛思穆 王玉冰 肖子涵 张翰哲 张 宇
潘靖轩 王云燊 肖紫汐 张昊宇 张语晴
彭朝洋 王梓萱 谢锦宸 张洪宇 张育嘉
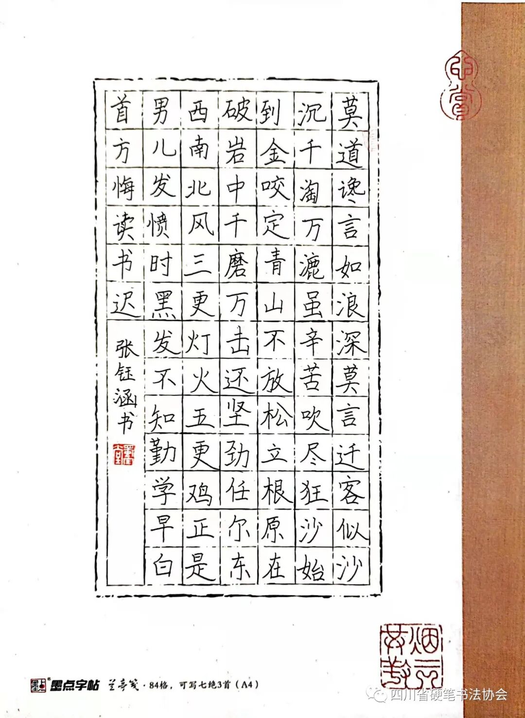
彭晟杰 王紫凝 谢尚池 张晋维 张钰涵
彭丛源 王紫轩 谢雨桐 张岚钰 张泽明慧
彭鹏博 魏芷萱 谢振兴 张龄匀 张臻熙
张茁元 张子浩 赵宸悦 车沁锴 罗明坤
陈骏昊 陈芊妤 邓淳曦 邓凯泽 樊星辰
冯敏然 高梓骁 黄泊淳 黄兰婷 蒋雨希
李艺朵 刘爱棋 刘译文 龙雨涵 陆明洋
舒麒喻 王英才 魏子然 谢晨允 姚义轩
叶俊逸 尹世洪 曾唐艺昕



图片

图片

图片

图片

图片

图片

图片

图片

图片

图片

图片

图片

图片

图片

图片

图片

图片

图片

图片

图片

图片

图片

图片

图片

图片

图片

图片

图片

图片

图片

图片

图片

图片

图片

图片

图片

图片

图片

图片

图片

图片

图片

图片

图片

图片

图片

图片

图片

图片

图片

图片

图片

图片

图片

图片

图片

图片

图片

图片

图片

图片

图片

图片

图片

图片

图片

图片

图片

图片

图片

图片

图片

图片

图片

图片

图片

图片

图片

图片

图片

图片

图片

图片

图片

图片

图片

图片

图片

图片

图片

图片

图片

图片

图片

图片

图片

图片

图片

图片

图片

图片

图片

图片

图片

图片

图片

图片

图片

图片

图片

图片

图片

图片

图片

图片

图片

图片

图片

图片

图片

图片

图片

图片

图片

图片

图片

图片

图片

图片

图片

图片

图片

图片

图片

图片

图片

图片

图片

图片

图片

图片

图片

图片

图片

图片

图片

图片

图片

图片

图片

图片

图片

图片

图片

图片

图片

图片

图片

图片

图片

图片

图片

图片

图片

图片

图片

图片

图片

图片

图片

图片

图片

图片

图片

图片

图片

图片

图片

图片

图片

图片

图片

图片

图片

图片

图片

图片

图片

图片

图片

图片

图片

图片

图片

图片